Los desafíos matemáticos que ponen a prueba los cerebros son comunes en la Red y casi todos nos hemos topado más de una vez con acertijos que aseguran que el 95 % de las personas que intenten resolverlos fracasarán.
En realidad, usuarios curiosos comparten en las redes sociales esos rompecabezas virales que se suelen resolver con relativa facilidad. A primera vista, este nuevo problema matemático no es diferente.

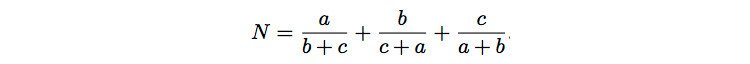
Sin embargo, esta vez se trata de una broma de un aficionado al álgebra. De acuerdo con el matemático Alon Amit, que encontró este meme en la Red, ni siquiera el 99 % de las personas pueden resolver este acertijo, equivale a una ecuación analizada en 2014 por los matemáticos Andrew Bremner y Allan Macleod.

Esos científicos descubrieron que la N tiene valores desde 4 a 200. Por lo tanto, en el caso de que equivalga a 4, los números enteros positivos mínimos serían:
a = 154476802108746166441951315019919837485664325669565431700026634898253202035277999
b = 36875131794129999827197811565225474825492979968971970996283137471637224634055579
c = 4373612677928697257861252602371390152816537558161613618621437993378423467772036
La ecuación puede tener otras soluciones, pero son aún más largas. Por lo tanto, con tantos dígitos en las variables resulta imposible resolver este problema con una simple búsqueda que enumere de manera sistemática todos los posibles candidatos para la solución, según subraya Alon Amit.
Para que no se sienta frustrado si no ha conseguido resolver este rompecabezas le dejamos otros enigmas virales como el de las tres letras, el de los cuadrados, el del gato, hallar el error, el acertijo de los cinco segundos, el del posavasos, el rompecabezas, el problema matemático, el acertijo "más difícil del mundo", el acertijo de Einstein y un juego: el Halloween de Google.
